In this tutorial, we will be using some functions from the DataExplorer and plotly packages to help us perform an initial exploratory visual analysis of county-level data from the Eviction Lab. We’ll also do some basic plotting of our own with the ggplot2 package. Specifically, we’ll be learning how to:
Visualize missing values in the data.
Generate histograms for all your numerical variables.
Generate bar plots for all your nominal variables.
Create a line graph using ggplot.
Add some basic interactivity to your ggplots.
The Eviction Lab has collected data from 80 million records around the country and you can read about the methodology here. Desmond’s team also makes data available at more micro levels ([U.S. Census tracts]((https://www.census.gov/geo/reference/webatlas/tracts.html) and block groups), as well as more macro levels (county, statewide).
As always, it is helpful to review the data dictionary to understand the meaning of the different variables (what each variable name corresponds to). If you want more detail about any of the variables, I encourage you to review the full Methodology Report.
The first step, of course, is to read in the data. We’ll use the readr::read_csv() function (readr can be loaded by the tidyverse metapackage) and store the data in an object called ma_counties.
library(tidyverse)
## ── Attaching packages ─────────────────────────────────────── tidyverse 1.3.1 ──
## ✓ ggplot2 3.3.5 ✓ purrr 0.3.4
## ✓ tibble 3.1.3 ✓ dplyr 1.0.7
## ✓ tidyr 1.1.3 ✓ stringr 1.4.0
## ✓ readr 2.0.1 ✓ forcats 0.5.1
## ── Conflicts ────────────────────────────────────────── tidyverse_conflicts() ──
## x dplyr::filter() masks stats::filter()
## x dplyr::group_rows() masks kableExtra::group_rows()
## x dplyr::lag() masks stats::lag()
ma_counties <- read_csv("https://dds.rodrigozamith.com/files/evictions_ma_counties.csv")
## Rows: 238 Columns: 27
## ── Column specification ────────────────────────────────────────────────────────
## Delimiter: ","
## chr (2): name, parent-location
## dbl (25): GEOID, year, population, poverty-rate, renter-occupied-households,...
##
## ℹ Use `spec()` to retrieve the full column specification for this data.
## ℹ Specify the column types or set `show_col_types = FALSE` to quiet this message.
The next step is to confirm the data were imported the way we wanted it to. Here, I would recommend that you follow three steps.
Start by checking the first few observations (rows) of the object to check if there’s anything odd using the head() function:
head(ma_counties)
| GEOID | year | name | parent-location | population | poverty-rate | renter-occupied-households | pct-renter-occupied | median-gross-rent | median-household-income | median-property-value | rent-burden | pct-white | pct-af-am | pct-hispanic | pct-am-ind | pct-asian | pct-nh-pi | pct-multiple | pct-other | eviction-filings | evictions | eviction-rate | eviction-filing-rate | low-flag | imputed | subbed |
|---|---|---|---|---|---|---|---|---|---|---|---|---|---|---|---|---|---|---|---|---|---|---|---|---|---|---|
| 25001 | 2000 | Barnstable County | Massachusetts | 222230 | 6.89 | 21035 | 22.18 | 723 | 45933 | 178800 | 27.7 | 93.38 | 1.73 | 1.35 | 0.52 | 0.61 | 0.02 | 1.56 | 0.83 | NA | NA | NA | NA | 0 | 0 | 0 |
| 25001 | 2001 | Barnstable County | Massachusetts | 222230 | 6.89 | 21096 | 22.18 | 723 | 45933 | 178800 | 27.7 | 93.38 | 1.73 | 1.35 | 0.52 | 0.61 | 0.02 | 1.56 | 0.83 | NA | NA | NA | NA | 0 | 0 | 0 |
| 25001 | 2002 | Barnstable County | Massachusetts | 222230 | 6.89 | 21157 | 22.18 | 723 | 45933 | 178800 | 27.7 | 93.38 | 1.73 | 1.35 | 0.52 | 0.61 | 0.02 | 1.56 | 0.83 | NA | NA | NA | NA | 0 | 0 | 0 |
| 25001 | 2003 | Barnstable County | Massachusetts | 222230 | 6.89 | 21218 | 22.18 | 723 | 45933 | 178800 | 27.7 | 93.38 | 1.73 | 1.35 | 0.52 | 0.61 | 0.02 | 1.56 | 0.83 | 767 | 751 | 3.54 | 3.61 | 0 | 0 | 0 |
| 25001 | 2004 | Barnstable County | Massachusetts | 222230 | 6.89 | 21279 | 22.18 | 723 | 45933 | 178800 | 27.7 | 93.38 | 1.73 | 1.35 | 0.52 | 0.61 | 0.02 | 1.56 | 0.83 | NA | NA | NA | NA | 0 | 0 | 0 |
| 25001 | 2005 | Barnstable County | Massachusetts | 222629 | 4.31 | 21340 | 18.91 | 1045 | 60096 | 399900 | 32.8 | 93.05 | 1.90 | 1.76 | 0.37 | 0.93 | 0.01 | 1.58 | 0.40 | NA | NA | NA | NA | 0 | 0 | 0 |
Just like before, it appears we imported the data correctly. Each observation represents a different county (name) at a different point in time (year).
Next, we’ll use the glimpse() function to check all the column names and make sure they’re associated with the right data type:
glimpse(ma_counties)
## Rows: 238
## Columns: 27
## $ GEOID <dbl> 25001, 25001, 25001, 25001, 25001, 25001,...
## $ year <dbl> 2000, 2001, 2002, 2003, 2004, 2005, 2006,...
## $ name <chr> "Barnstable County", "Barnstable County",...
## $ `parent-location` <chr> "Massachusetts", "Massachusetts", "Massac...
## $ population <dbl> 222230, 222230, 222230, 222230, 222230, 2...
## $ `poverty-rate` <dbl> 6.89, 6.89, 6.89, 6.89, 6.89, 4.31, 4.31,...
## $ `renter-occupied-households` <dbl> 21035, 21096, 21157, 21218, 21279, 21340,...
## $ `pct-renter-occupied` <dbl> 22.18, 22.18, 22.18, 22.18, 22.18, 18.91,...
## $ `median-gross-rent` <dbl> 723, 723, 723, 723, 723, 1045, 1045, 1045...
## $ `median-household-income` <dbl> 45933, 45933, 45933, 45933, 45933, 60096,...
## $ `median-property-value` <dbl> 178800, 178800, 178800, 178800, 178800, 3...
## $ `rent-burden` <dbl> 27.7, 27.7, 27.7, 27.7, 27.7, 32.8, 32.8,...
## $ `pct-white` <dbl> 93.38, 93.38, 93.38, 93.38, 93.38, 93.05,...
## $ `pct-af-am` <dbl> 1.73, 1.73, 1.73, 1.73, 1.73, 1.90, 1.90,...
## $ `pct-hispanic` <dbl> 1.35, 1.35, 1.35, 1.35, 1.35, 1.76, 1.76,...
## $ `pct-am-ind` <dbl> 0.52, 0.52, 0.52, 0.52, 0.52, 0.37, 0.37,...
## $ `pct-asian` <dbl> 0.61, 0.61, 0.61, 0.61, 0.61, 0.93, 0.93,...
## $ `pct-nh-pi` <dbl> 0.02, 0.02, 0.02, 0.02, 0.02, 0.01, 0.01,...
## $ `pct-multiple` <dbl> 1.56, 1.56, 1.56, 1.56, 1.56, 1.58, 1.58,...
## $ `pct-other` <dbl> 0.83, 0.83, 0.83, 0.83, 0.83, 0.40, 0.40,...
## $ `eviction-filings` <dbl> NA, NA, NA, 767, NA, NA, NA, NA, NA, NA, ...
## $ evictions <dbl> NA, NA, NA, 751, NA, NA, NA, NA, NA, NA, ...
## $ `eviction-rate` <dbl> NA, NA, NA, 3.54, NA, NA, NA, NA, NA, NA,...
## $ `eviction-filing-rate` <dbl> NA, NA, NA, 3.61, NA, NA, NA, NA, NA, NA,...
## $ `low-flag` <dbl> 0, 0, 0, 0, 0, 0, 0, 0, 0, 0, 0, 0, 0, 0,...
## $ imputed <dbl> 0, 0, 0, 0, 0, 0, 0, 0, 0, 0, 0, 0, 0, 0,...
## $ subbed <dbl> 0, 0, 0, 0, 0, 0, 0, 0, 0, 0, 0, 0, 0, 0,...
All of our variables appear to have the data types we’d expect for them (e.g., dbl for variables we would think would be numerical and chr for those we expect to be text).
We’ll also want to check to see if there are any extreme values in our dataset that may have been the result of information being entered incorrectly. To do that, we’ll use the summary() function:
summary(ma_counties)
## GEOID year name parent-location
## Min. :25001 Min. :2000 Length:238 Length:238
## 1st Qu.:25007 1st Qu.:2004 Class :character Class :character
## Median :25014 Median :2008 Mode :character Mode :character
## Mean :25014 Mean :2008
## 3rd Qu.:25021 3rd Qu.:2012
## Max. :25027 Max. :2016
##
## population poverty-rate renter-occupied-households
## Min. : 9520 Min. : 3.61 Min. : 1365
## 1st Qu.: 130168 1st Qu.: 5.62 1st Qu.: 18481
## Median : 470496 Median : 7.40 Median : 57391
## Mean : 466733 Mean : 8.16 Mean : 69080
## 3rd Qu.: 723419 3rd Qu.: 9.45 3rd Qu.:101985
## Max. :1556116 Max. :18.99 Max. :237937
##
## pct-renter-occupied median-gross-rent median-household-income
## Min. :18.91 Min. : 499.0 Min. :39047
## 1st Qu.:29.20 1st Qu.: 743.2 1st Qu.:49956
## Median :33.59 Median : 853.0 Median :56842
## Mean :33.88 Mean : 946.7 Mean :59647
## 3rd Qu.:37.00 3rd Qu.:1141.0 3rd Qu.:65313
## Max. :66.07 Max. :1648.0 Max. :88262
##
## median-property-value rent-burden pct-white pct-af-am
## Min. : 116800 Min. :23.80 Min. :46.47 Min. : 0.83
## 1st Qu.: 202700 1st Qu.:26.30 1st Qu.:78.32 1st Qu.: 2.31
## Median : 273100 Median :29.60 Median :84.93 Median : 3.15
## Mean : 331264 Mean :29.16 Mean :82.12 Mean : 4.97
## 3rd Qu.: 392800 3rd Qu.:31.27 3rd Qu.:89.73 3rd Qu.: 6.04
## Max. :1000001 Max. :34.40 Max. :94.38 Max. :20.85
##
## pct-hispanic pct-am-ind pct-asian pct-nh-pi
## Min. : 0.630 Min. :0.0100 Min. : 0.310 Min. :0.0000
## 1st Qu.: 2.580 1st Qu.:0.1100 1st Qu.: 1.250 1st Qu.:0.0100
## Median : 4.360 Median :0.1500 Median : 1.780 Median :0.0200
## Mean : 6.953 Mean :0.2992 Mean : 3.193 Mean :0.0213
## 3rd Qu.:10.170 3rd Qu.:0.2200 3rd Qu.: 4.430 3rd Qu.:0.0300
## Max. :22.730 Max. :2.4200 Max. :10.460 Max. :0.0700
##
## pct-multiple pct-other eviction-filings evictions
## Min. :0.900 Min. :0.0000 Min. : 0.0 Min. : 0.0
## 1st Qu.:1.340 1st Qu.:0.2025 1st Qu.: 356.8 1st Qu.: 166.8
## Median :1.630 Median :0.4000 Median :1667.0 Median :1257.5
## Mean :1.705 Mean :0.7345 Mean :2124.3 Mean :1333.1
## 3rd Qu.:1.900 3rd Qu.:1.1600 3rd Qu.:3555.5 3rd Qu.:2448.5
## Max. :3.180 Max. :4.9000 Max. :7301.0 Max. :3589.0
## NA's :76 NA's :76
## eviction-rate eviction-filing-rate low-flag imputed
## Min. :0.000 Min. :0.000 Min. :0.0000 Min. :0.00000
## 1st Qu.:1.252 1st Qu.:1.745 1st Qu.:0.0000 1st Qu.:0.00000
## Median :1.555 Median :2.695 Median :0.0000 Median :0.00000
## Mean :1.865 Mean :2.941 Mean :0.3151 Mean :0.04622
## 3rd Qu.:2.502 3rd Qu.:3.985 3rd Qu.:1.0000 3rd Qu.:0.00000
## Max. :4.650 Max. :7.470 Max. :1.0000 Max. :1.00000
## NA's :76 NA's :76
## subbed
## Min. :0
## 1st Qu.:0
## Median :0
## Mean :0
## 3rd Qu.:0
## Max. :0
##
As with some of the data we previously looked at, there is a fair amount of missing data here for some of the variables (e.g., eviction-rate). Given that the number of NAs is pretty consistent (76), I’m guessing that data simply are not available for some counties at given years. But, it may also mean that we’ll need to exclude some counties from the analysis altogether, which would merit a note to the reader.
To begin visually inspecting our data, we can turn to the DataExplorer package. (You may need to install DataExplorer by going to Tools, Install Packages, and entering in that package name.)
DataExplorer helps us do things like visualize missing values and automatically generate histograms, scatter plots, boxplots, and correlation matrices for all the variables in a given dataset.
The reason this is valuable is because humans have a much easier time processing large amounts of information when it is visualized in some way. Data tables are great for looking at individual trees but visuals help us see the forest.
Additionally, visually inspecting data is great for finding outliers (extreme observations). Sometimes the story is not in the general pattern but in the outlier. For example, you may wonder why a particular city has an exceptionally high crime rate. (However, outliers may also be data entry errors that we need to clean up.)
Let’s load DataExplorer first to get access to its functions.
library(DataExplorer)
You will need to install the DataExplorer package if you haven’t already. In RStudio, you can do that by going to Tools, Install Packages, and selecting it for installation.
While we can use the base::summary() function to get the number of NA values for each variable, DataExplorer provides us with a plot_missing() function that visualizes that nicely for us. That function just takes a single argument: the name of the data frame you want to analyze.
In our case, we’re currently working with the ma_counties data frame, so we’ll supply that as the lone argument:
plot_missing(ma_counties)

Behold, we get a simple graph that tells us that we have data for almost all of our variables. As we saw earlier, four of the variables have some missing data (actually, a fair amount of missing data!).
The fact that the values are equal (31.93%) for all four variables suggests some entries have missing data for all those variables—though it is possible that some entries have data for eviction-rate but not eviction-filing-rate.
We could, of course, quickly examine that assumption:
ma_counties %>%
filter(is.na(`eviction-filing-rate`) == TRUE | is.na(`eviction-rate`) == TRUE | is.na(`evictions`) == TRUE | is.na(`eviction-filings`) == TRUE) %>%
select(year, name, `eviction-filing-rate`, `eviction-rate`, evictions, `eviction-filings`)
| year | name | eviction-filing-rate | eviction-rate | evictions | eviction-filings |
|---|---|---|---|---|---|
| 2000 | Barnstable County | NA | NA | NA | NA |
| 2001 | Barnstable County | NA | NA | NA | NA |
| 2002 | Barnstable County | NA | NA | NA | NA |
| 2004 | Barnstable County | NA | NA | NA | NA |
| 2005 | Barnstable County | NA | NA | NA | NA |
| 2006 | Barnstable County | NA | NA | NA | NA |
| 2007 | Barnstable County | NA | NA | NA | NA |
| 2008 | Barnstable County | NA | NA | NA | NA |
| 2009 | Barnstable County | NA | NA | NA | NA |
| 2010 | Barnstable County | NA | NA | NA | NA |
| 2011 | Barnstable County | NA | NA | NA | NA |
| 2012 | Barnstable County | NA | NA | NA | NA |
| 2013 | Barnstable County | NA | NA | NA | NA |
| 2000 | Berkshire County | NA | NA | NA | NA |
| 2001 | Berkshire County | NA | NA | NA | NA |
| 2002 | Berkshire County | NA | NA | NA | NA |
| 2003 | Berkshire County | NA | NA | NA | NA |
| 2004 | Berkshire County | NA | NA | NA | NA |
| 2005 | Berkshire County | NA | NA | NA | NA |
| 2006 | Berkshire County | NA | NA | NA | NA |
| 2000 | Bristol County | NA | NA | NA | NA |
| 2001 | Bristol County | NA | NA | NA | NA |
| 2002 | Bristol County | NA | NA | NA | NA |
| 2003 | Bristol County | NA | NA | NA | NA |
| 2004 | Bristol County | NA | NA | NA | NA |
| 2005 | Bristol County | NA | NA | NA | NA |
| 2006 | Bristol County | NA | NA | NA | NA |
| 2007 | Bristol County | NA | NA | NA | NA |
| 2000 | Dukes County | NA | NA | NA | NA |
| 2001 | Dukes County | NA | NA | NA | NA |
| 2002 | Dukes County | NA | NA | NA | NA |
| 2003 | Dukes County | NA | NA | NA | NA |
| 2004 | Dukes County | NA | NA | NA | NA |
| 2005 | Dukes County | NA | NA | NA | NA |
| 2006 | Dukes County | NA | NA | NA | NA |
| 2007 | Dukes County | NA | NA | NA | NA |
| 2000 | Essex County | NA | NA | NA | NA |
| 2001 | Essex County | NA | NA | NA | NA |
| 2003 | Essex County | NA | NA | NA | NA |
| 2004 | Essex County | NA | NA | NA | NA |
| 2005 | Essex County | NA | NA | NA | NA |
| 2006 | Essex County | NA | NA | NA | NA |
| 2007 | Essex County | NA | NA | NA | NA |
| 2008 | Essex County | NA | NA | NA | NA |
| 2009 | Essex County | NA | NA | NA | NA |
| 2000 | Franklin County | NA | NA | NA | NA |
| 2001 | Franklin County | NA | NA | NA | NA |
| 2000 | Hampden County | NA | NA | NA | NA |
| 2000 | Hampshire County | NA | NA | NA | NA |
| 2000 | Middlesex County | NA | NA | NA | NA |
| 2001 | Middlesex County | NA | NA | NA | NA |
| 2002 | Middlesex County | NA | NA | NA | NA |
| 2003 | Middlesex County | NA | NA | NA | NA |
| 2004 | Middlesex County | NA | NA | NA | NA |
| 2000 | Nantucket County | NA | NA | NA | NA |
| 2001 | Nantucket County | NA | NA | NA | NA |
| 2002 | Nantucket County | NA | NA | NA | NA |
| 2003 | Nantucket County | NA | NA | NA | NA |
| 2004 | Nantucket County | NA | NA | NA | NA |
| 2000 | Norfolk County | NA | NA | NA | NA |
| 2001 | Norfolk County | NA | NA | NA | NA |
| 2000 | Plymouth County | NA | NA | NA | NA |
| 2001 | Plymouth County | NA | NA | NA | NA |
| 2002 | Plymouth County | NA | NA | NA | NA |
| 2003 | Plymouth County | NA | NA | NA | NA |
| 2004 | Plymouth County | NA | NA | NA | NA |
| 2005 | Plymouth County | NA | NA | NA | NA |
| 2006 | Plymouth County | NA | NA | NA | NA |
| 2007 | Plymouth County | NA | NA | NA | NA |
| 2000 | Suffolk County | NA | NA | NA | NA |
| 2003 | Suffolk County | NA | NA | NA | NA |
| 2004 | Suffolk County | NA | NA | NA | NA |
| 2005 | Suffolk County | NA | NA | NA | NA |
| 2006 | Suffolk County | NA | NA | NA | NA |
| 2007 | Suffolk County | NA | NA | NA | NA |
| 2000 | Worcester County | NA | NA | NA | NA |
We use the pipe | character in our filter to convey an “OR” logical statement. That is, we’re saying, if eviction-filing-rate is an NA value or if eviction-rate is an NA value, and so on, then include the value in our filtered data frame.
Our assumption is correct: the missing data align across those four variables. But that’s a whole lot of data that’s missing. We can quickly examine which counties are even usable:
ma_counties %>%
select(year, name, `eviction-filing-rate`, `eviction-rate`, evictions, `eviction-filings`) %>%
filter(complete.cases(.) == FALSE) %>%
count(name) %>%
arrange(desc(n))
| name | n |
|---|---|
| Barnstable County | 13 |
| Essex County | 9 |
| Bristol County | 8 |
| Dukes County | 8 |
| Plymouth County | 8 |
| Berkshire County | 7 |
| Suffolk County | 6 |
| Middlesex County | 5 |
| Nantucket County | 5 |
| Franklin County | 2 |
| Norfolk County | 2 |
| Hampden County | 1 |
| Hampshire County | 1 |
| Worcester County | 1 |
filter(complete.cases(.) == FALSE) accomplishes the equivalent of the longer filter() line in the previous code chunk. Specifically, base::complete.cases() tests if the observation has any missing data, outputing TRUE if there are no missing values and FALSE if there is one or more. That function expects you to specify a data frame as the argument; we use . to signal that it should use the piped output from the previous step (the select() statement). Additionally, because we dropped several variables (e.g., population) by not selecting them, the complete.cases() function will only test for the few variables we selected.
It seems that some counties (like Barnstable County and Essex County) have a lot of missing data. Thus, we may not be able to make comparisons for some of the years across all counties.
This doesn’t mean these data are bad but it does mean that we’ll need to be careful about what we can say from our analysis of these data.
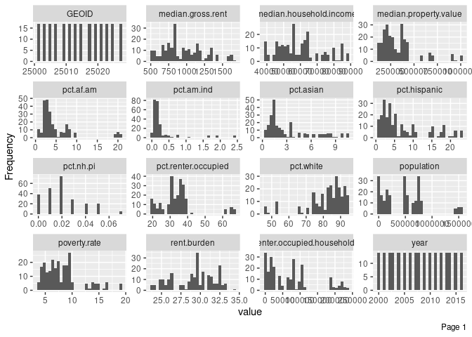
We may also want to check the frequency of values for the many variables in our dataset. This can be really handy for identifying those outliers and better understanding the distribution of values. For that, a histogram is very handy.
Here, we can use DataExplorer’s plot_histogram() function. That function requires a single argument (although there are some additional optional ones): the data frame from which to plot. The function will then go through that data frame and figure out which variables are sensible to plot on a histogram.
plot_histogram(ma_counties)


Notice that the plot_histogram() function automatically renamed our variables. For example, eviction-filings now shows up as eviction.filings. Our original data were not modified, but if we wanted to pipe that data further, we would need to use the new variable names.
The function produced a histogram for almost all of our variables. Some of those variables are kind of pointless (like GEOID) but we’re just exploring and can quickly ignore them. For some variables, like pct.nh.pi, the X axis isn’t very helpful—but we do see that those values tend to be very small across entries.
We’re generating those data for all the observations in our dataset, though, which includes a lot of semi-repetition (we wouldn’t expect the percentage of Hispanics to change tremendously from year to year for each county).
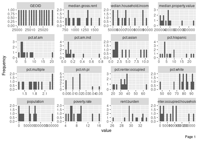
What if we wanted to generate these histograms, but only for a single year (2014)?
We would just have to use our filter() function once again, and pipe that output (a data frame) to plot_histogram(). Here’s how we could do that:
ma_counties %>%
filter(year==2014) %>%
plot_histogram()


Immediately, we see, for example, that almost all counties have fewer than 40% of their households living in rental units (pct.renter.occupied). One county, however, has more than 60%. Maybe there’s something interesting about that county, and we can start digging into it through our exploratory data analysis.
DataExplorer also provides a function, plot_bar() that will generate frequencies for discrete variables (those identified as strings (chr or factor types)).
It works in a similar fashion to plot_histogram(). However, if we only have one chr-type variable of interest (name), we can just call it using our regular object$variable nomenclature:
plot_bar(ma_counties$name)

This doesn’t tell us anything too useful in this case, except that each county name comes up an equal number of times in our dataset.
However, if you were interested in which names (string-type) came up most often in a dataset about campaign contributions, for example, this would be a very useful tool for visually exploring things.
The DataExplorer functions we’ve looked at so far can be called “wrapper” functions because they’re primarily geared toward expediting common uses of other functions. Specifically, DataExplorer makes extensive use of the ggplot2 visualization package, wrapping a bunch of ggplot2’s functions into a single one like plot_histogram().
ggplot2 is quite powerful and can get pretty complicated, and we’ll cover some of its more advanced later in the book. For now, we just care about producing some basic plots with little care for visual appeal—it’s just for exploration after all—so we’ll keep things simple.
First, load the ggplot2 package (if you loaded tidyverse previously, you don’t need to load ggplot2 as it is part of the tidyverse metapackage):
library(ggplot2)
ggplot2 works by layering information. For example, we might first set up a basic plot layer that defines the aesthetics; then add a layer with points; then add a layer with lines connecting the points; and finally add a text layer with a title. Those four layers, together, would comprise a line graph.
Let’s illustrate that by producing a graphic that addresses the following question: What is the trajectory of eviction filing rates in Hampshire County across the years in our dataset?
As a reminder, here are the variables in our data frame:
glimpse(ma_counties)
## Rows: 238
## Columns: 27
## $ GEOID <dbl> 25001, 25001, 25001, 25001, 25001, 25001,...
## $ year <dbl> 2000, 2001, 2002, 2003, 2004, 2005, 2006,...
## $ name <chr> "Barnstable County", "Barnstable County",...
## $ `parent-location` <chr> "Massachusetts", "Massachusetts", "Massac...
## $ population <dbl> 222230, 222230, 222230, 222230, 222230, 2...
## $ `poverty-rate` <dbl> 6.89, 6.89, 6.89, 6.89, 6.89, 4.31, 4.31,...
## $ `renter-occupied-households` <dbl> 21035, 21096, 21157, 21218, 21279, 21340,...
## $ `pct-renter-occupied` <dbl> 22.18, 22.18, 22.18, 22.18, 22.18, 18.91,...
## $ `median-gross-rent` <dbl> 723, 723, 723, 723, 723, 1045, 1045, 1045...
## $ `median-household-income` <dbl> 45933, 45933, 45933, 45933, 45933, 60096,...
## $ `median-property-value` <dbl> 178800, 178800, 178800, 178800, 178800, 3...
## $ `rent-burden` <dbl> 27.7, 27.7, 27.7, 27.7, 27.7, 32.8, 32.8,...
## $ `pct-white` <dbl> 93.38, 93.38, 93.38, 93.38, 93.38, 93.05,...
## $ `pct-af-am` <dbl> 1.73, 1.73, 1.73, 1.73, 1.73, 1.90, 1.90,...
## $ `pct-hispanic` <dbl> 1.35, 1.35, 1.35, 1.35, 1.35, 1.76, 1.76,...
## $ `pct-am-ind` <dbl> 0.52, 0.52, 0.52, 0.52, 0.52, 0.37, 0.37,...
## $ `pct-asian` <dbl> 0.61, 0.61, 0.61, 0.61, 0.61, 0.93, 0.93,...
## $ `pct-nh-pi` <dbl> 0.02, 0.02, 0.02, 0.02, 0.02, 0.01, 0.01,...
## $ `pct-multiple` <dbl> 1.56, 1.56, 1.56, 1.56, 1.56, 1.58, 1.58,...
## $ `pct-other` <dbl> 0.83, 0.83, 0.83, 0.83, 0.83, 0.40, 0.40,...
## $ `eviction-filings` <dbl> NA, NA, NA, 767, NA, NA, NA, NA, NA, NA, ...
## $ evictions <dbl> NA, NA, NA, 751, NA, NA, NA, NA, NA, NA, ...
## $ `eviction-rate` <dbl> NA, NA, NA, 3.54, NA, NA, NA, NA, NA, NA,...
## $ `eviction-filing-rate` <dbl> NA, NA, NA, 3.61, NA, NA, NA, NA, NA, NA,...
## $ `low-flag` <dbl> 0, 0, 0, 0, 0, 0, 0, 0, 0, 0, 0, 0, 0, 0,...
## $ imputed <dbl> 0, 0, 0, 0, 0, 0, 0, 0, 0, 0, 0, 0, 0, 0,...
## $ subbed <dbl> 0, 0, 0, 0, 0, 0, 0, 0, 0, 0, 0, 0, 0, 0,...
Let’s start by producing a data frame that only includes information from Hampshire County. We can do that by piping our data to a filter() statement that only includes the desired data:
ma_counties %>%
filter(name=="Hampshire County")
| GEOID | year | name | parent-location | population | poverty-rate | renter-occupied-households | pct-renter-occupied | median-gross-rent | median-household-income | median-property-value | rent-burden | pct-white | pct-af-am | pct-hispanic | pct-am-ind | pct-asian | pct-nh-pi | pct-multiple | pct-other | eviction-filings | evictions | eviction-rate | eviction-filing-rate | low-flag | imputed | subbed |
|---|---|---|---|---|---|---|---|---|---|---|---|---|---|---|---|---|---|---|---|---|---|---|---|---|---|---|
| 25015 | 2000 | Hampshire County | Massachusetts | 152251 | 9.40 | 19621 | 35.05 | 631 | 46098 | 142400 | 26.3 | 89.54 | 1.80 | 3.42 | 0.16 | 3.39 | 0.04 | 1.46 | 0.19 | NA | NA | NA | NA | 0 | 0 | 0 |
| 25015 | 2001 | Hampshire County | Massachusetts | 152251 | 9.40 | 19629 | 35.05 | 631 | 46098 | 142400 | 26.3 | 89.54 | 1.80 | 3.42 | 0.16 | 3.39 | 0.04 | 1.46 | 0.19 | 113 | 102 | 0.52 | 0.58 | 1 | 0 | 0 |
| 25015 | 2002 | Hampshire County | Massachusetts | 152251 | 9.40 | 19637 | 35.05 | 631 | 46098 | 142400 | 26.3 | 89.54 | 1.80 | 3.42 | 0.16 | 3.39 | 0.04 | 1.46 | 0.19 | 98 | 79 | 0.40 | 0.50 | 1 | 0 | 0 |
| 25015 | 2003 | Hampshire County | Massachusetts | 152251 | 9.40 | 19645 | 35.05 | 631 | 46098 | 142400 | 26.3 | 89.54 | 1.80 | 3.42 | 0.16 | 3.39 | 0.04 | 1.46 | 0.19 | 121 | 97 | 0.49 | 0.62 | 1 | 1 | 0 |
| 25015 | 2004 | Hampshire County | Massachusetts | 152251 | 9.40 | 19653 | 35.05 | 631 | 46098 | 142400 | 26.3 | 89.54 | 1.80 | 3.42 | 0.16 | 3.39 | 0.04 | 1.46 | 0.19 | 249 | 197 | 1.00 | 1.27 | 0 | 1 | 0 |
| 25015 | 2005 | Hampshire County | Massachusetts | 155160 | 5.28 | 19661 | 32.08 | 847 | 57293 | 252500 | 32.3 | 87.92 | 2.08 | 4.36 | 0.15 | 3.67 | 0.01 | 1.58 | 0.24 | 343 | 247 | 1.26 | 1.74 | 0 | 0 | 0 |
| 25015 | 2006 | Hampshire County | Massachusetts | 155160 | 5.28 | 19669 | 32.08 | 847 | 57293 | 252500 | 32.3 | 87.92 | 2.08 | 4.36 | 0.15 | 3.67 | 0.01 | 1.58 | 0.24 | 285 | 259 | 1.32 | 1.45 | 0 | 0 | 0 |
| 25015 | 2007 | Hampshire County | Massachusetts | 155160 | 5.28 | 19677 | 32.08 | 847 | 57293 | 252500 | 32.3 | 87.92 | 2.08 | 4.36 | 0.15 | 3.67 | 0.01 | 1.58 | 0.24 | 362 | 266 | 1.35 | 1.84 | 0 | 0 | 0 |
| 25015 | 2008 | Hampshire County | Massachusetts | 155160 | 5.28 | 19685 | 32.08 | 847 | 57293 | 252500 | 32.3 | 87.92 | 2.08 | 4.36 | 0.15 | 3.67 | 0.01 | 1.58 | 0.24 | 462 | 258 | 1.31 | 2.35 | 0 | 0 | 0 |
| 25015 | 2009 | Hampshire County | Massachusetts | 155160 | 5.28 | 19693 | 32.08 | 847 | 57293 | 252500 | 32.3 | 87.92 | 2.08 | 4.36 | 0.15 | 3.67 | 0.01 | 1.58 | 0.24 | 513 | 270 | 1.37 | 2.60 | 0 | 0 | 0 |
| 25015 | 2010 | Hampshire County | Massachusetts | 158080 | 5.99 | 19701 | 33.56 | 906 | 61264 | 263500 | 31.1 | 86.19 | 2.24 | 4.72 | 0.15 | 4.51 | 0.03 | 1.95 | 0.22 | 478 | 252 | 1.28 | 2.43 | 0 | 0 | 0 |
| 25015 | 2011 | Hampshire County | Massachusetts | 160759 | 6.17 | 19951 | 34.16 | 965 | 61368 | 265400 | 32.6 | 84.93 | 2.60 | 5.15 | 0.12 | 5.27 | 0.04 | 1.82 | 0.08 | 583 | 266 | 1.33 | 2.92 | 0 | 0 | 0 |
| 25015 | 2012 | Hampshire County | Massachusetts | 160759 | 6.17 | 20202 | 34.16 | 965 | 61368 | 265400 | 32.6 | 84.93 | 2.60 | 5.15 | 0.12 | 5.27 | 0.04 | 1.82 | 0.08 | 601 | 259 | 1.28 | 2.98 | 0 | 0 | 0 |
| 25015 | 2013 | Hampshire County | Massachusetts | 160759 | 6.17 | 20452 | 34.16 | 965 | 61368 | 265400 | 32.6 | 84.93 | 2.60 | 5.15 | 0.12 | 5.27 | 0.04 | 1.82 | 0.08 | 524 | 171 | 0.84 | 2.56 | 0 | 0 | 0 |
| 25015 | 2014 | Hampshire County | Massachusetts | 160759 | 6.17 | 20702 | 34.16 | 965 | 61368 | 265400 | 32.6 | 84.93 | 2.60 | 5.15 | 0.12 | 5.27 | 0.04 | 1.82 | 0.08 | 523 | 166 | 0.80 | 2.53 | 0 | 0 | 0 |
| 25015 | 2015 | Hampshire County | Massachusetts | 160759 | 6.17 | 20953 | 34.16 | 965 | 61368 | 265400 | 32.6 | 84.93 | 2.60 | 5.15 | 0.12 | 5.27 | 0.04 | 1.82 | 0.08 | 491 | 147 | 0.70 | 2.34 | 0 | 0 | 0 |
| 25015 | 2016 | Hampshire County | Massachusetts | 160759 | 6.17 | 21203 | 34.16 | 965 | 61368 | 265400 | 32.6 | 84.93 | 2.60 | 5.15 | 0.12 | 5.27 | 0.04 | 1.82 | 0.08 | 479 | 122 | 0.58 | 2.26 | 0 | 1 | 0 |
Once we have just the data we want to visualize, we’ll proceed to creating our visualization. With ggplot2, this begins by calling the ggplot() function and specifying dataset you want to use (first argument, which is data= by default) and the key aesthetic variables you’d like to use by default on subsequent layers (which we supply via the aes() function in the second argument, which is mapping= by default).
Common top-level aesthetic mappings that we can set within the aes() function include:
x: the variable that goes in the X axis
y: the variable that goes in the Y axis (optional)
group: any grouping variable to signal a connection between data points (optional)
color: any variable for color-coding data points’ outside edges (optional)
fill: any variable for color-coding data points’ inside fills (optional)
In this case, we’ll create a basic base layer that only maps the x and y variables (the years and the eviction filing rates). Let’s pipe our information to the ggplot() function (which will automatically fill in the information about the data frame object) and fill in the desired aesthetics:
ma_counties %>%
filter(name=="Hampshire County") %>%
ggplot(aes(x=year, y=`eviction-filing-rate`))

Our plot now has scaled values for the X axis and Y axis (look at the labels placed on both axes), but there’s no data plotted on it just yet.
To add some points on that plot, we’ll add another layer by putting a + sign at the end of the previous layer. (Note that we’re no longer piping the information. We are adding layers to our ggplot.)
Then, we’ll add in points by simply applying the geom_point() function as our second layer.
ma_counties %>%
filter(name=="Hampshire County") %>%
ggplot(aes(x=year, y=`eviction-filing-rate`)) +
geom_point()
## Warning: Removed 1 rows containing missing values (geom_point).

Note: R tells us that it removed a row because we don’t have data for eviction-filing-rate in the year 2000. If we had removed observations with NA values, that warning would not have been given.
Now we have points! Next up, we’ll add a line to connect our points.
We can place a line to connect our points by adding a third layer. Similar to our previous layer, we’ll just apply the geom_line() function to that new layer.
ma_counties %>%
filter(name=="Hampshire County") %>%
ggplot(aes(x=year, y=`eviction-filing-rate`)) +
geom_point() +
geom_line()
## Warning: Removed 1 rows containing missing values (geom_point).
## Warning: Removed 1 row(s) containing missing values (geom_path).

Note: We could do without the geom_point() layer in creating a line graph, but it’s often helpful to include some marker for each data point.
We can replicate our earlier charts using ggplot2 functions like geom_histogram() and geom_bar().
We’ll cover ggplot2’s more advanced features later in the book, but here’s a cheatsheet if you already want to do more with it. For now, quick and dirty is all we need.
The nice thing about producing our own plots using ggplot2 is the fact that we can easily turn them into interactive plots by pairing them with the ggplotly() function from the plotly library, provided by the website Plot.ly. (You may need to install the library first.)
As usual, we begin by loading the package:
library(plotly)
##
## Attaching package: 'plotly'
## The following object is masked from 'package:ggplot2':
##
## last_plot
## The following object is masked from 'package:stats':
##
## filter
## The following object is masked from 'package:graphics':
##
## layout
The plotly library has some more advanced features, but it can usually take a given ggplot2 object and automatically figure out which aspects of the plot could be enhanced through interactive elements.
The plotly library is a work in progress and authored by different people from ggplot2. Thus, some advanced ggplot2 aesthetics, like custom annotations, work poorly with plotly at the time of writing. For exploratory graphics, this isn’t usually an issue but it can be problematic if you want to produce production-level ggplot2 graphics.
ggplotly()Let’s recreate the line graph from above but make it so I can get precise values just by hovering over each point. First, we’ll store our ggplot in an object called g. Then, we will supply that object we just created as the lone argument for ggplotly():
g <- ma_counties %>%
filter(name=="Hampshire County") %>%
ggplot(aes(x=year, y=`eviction-filing-rate`)) +
geom_point() +
geom_line()
ggplotly(g)

The above is just a screenshot of the interactive version that you should get when running the code.
By using these exploratory visualization tactics, you should be able to start identifying even more potential issues with your data, questions that you can explore in greater depth with follow-up analysis, and potential trends that you might have missed if you were just looking at a big table packed with numbers.